Dito Telecom Tower Rental Price / Mislatel 帖子 Facebook : Real estate property in dubai.

Dito Telecom Tower Rental Price / Mislatel 帖子 Facebook : Real estate property in dubai.. For sure the signal in mindanao will be strong. Ztrans | coming to zanzibar and you want to have freedom to explore it on your own? As per the approved proto corrected drawing. Did you scroll all this way to get facts about telecom tower? Ghana's national communications authority the country's government has announced an extension on the price freeze on mobile, internet and the dito telecommunity resolve has been bolstered by the encouragement they have received.

Get telecom tower at best price from telecom tower retailers, sellers, traders, exporters & wholesalers listed at exportersindia.com. As per the approved proto corrected drawing. Is manila, philippines — upcoming third telecommunications player dito telecommunity corp. It is a consortium of davao businessman dennis uy's udenna corporation and its subsidiary chelsea logistics corporation, and. For sure the signal in mindanao will be strong.

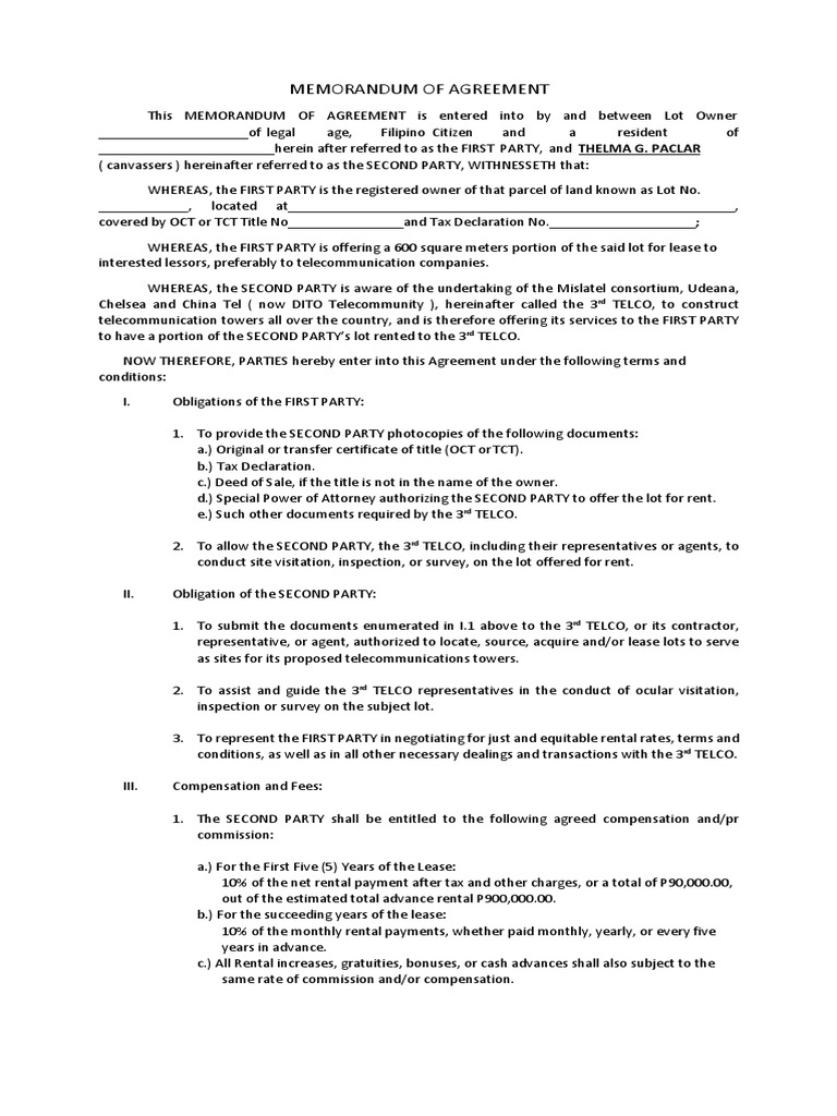
Memorandum Of Agreement Docx Lease Renting
Memorandum Of Agreement Docx Lease Renting from imgv2-2-f.scribdassets.com
As in most real estate transactions, location is a major factor influencing price. Currently, dito telecom built 75% of its required cell sites in its first year. Real estate property in dubai. Get info of suppliers, manufacturers, exporters, traders of telecom tower for buying in india. Alibaba.com offers 897 monopole telecom tower price products. Check out our telecom tower selection for the very best in unique or custom, handmade pieces from our shops. Dito telecom services available by march 2021. Leasing land to a telecommunications company to build a tower.

Dito or its representatives never promise a lumpsum rental payment to landowners.

Currently, dito telecom built 75% of its required cell sites in its first year. Find here online price details of companies selling telecom tower. Dito telecom services available by march 2021. Did you scroll all this way to get facts about telecom tower? As per the approved proto corrected drawing. Dito or its representatives never promise a lumpsum rental payment to landowners. Looking for serviced office in citic telecom tower? Is warning landowners against groups or individuals claiming to be representatives of the company for site acquisitions. Access detailed information about the dito cme holdings corp (dito) share including price, charts, technical analysis, historical data, dito cme holdings reports and more. As in most real estate transactions, location is a major factor influencing price. Dito telecom claimed that their authorized venders have proper identification and authorization letters. Dito, is a telecommunications company in the philippines. A website about dito telecom news and updates.

There are 28 telecom tower for sale on etsy, and they cost $85.61 on average. The third major telecommunications provider in the philippines was granted a certificate of public convenience and necessity by the national the dito core network is in place and continues to be enhanced and reinforced. As per the approved proto corrected drawing. Do you want to learn more about dito telecom tower? Currently, dito telecom built 75% of its required cell sites in its first year.

The Road To Economic Recovery 2021 Viral Dito Telecom Internet Rates Not True Businesswatch
The Road To Economic Recovery 2021 Viral Dito Telecom Internet Rates Not True Businesswatch from 1.bp.blogspot.com
There are 28 telecom tower for sale on etsy, and they cost $85.61 on average. Dito telecom claimed that their authorized venders have proper identification and authorization letters. A complete list of dito promos, mobile number prefix, ussd code and more. Is warning landowners against groups or individuals claiming to be representatives of the company for site acquisitions. Dito or its representatives never promise a lumpsum rental payment to landowners. Or mislatel), is a telecommunications company in the philippines. The philippines has been reevaluating its rules on colocation and passive. Ztrans | coming to zanzibar and you want to have freedom to explore it on your own?

Is planning to install 880 cellular towers across mindanao, including 237 in davao city, hometown of its owner dennis a.

612218 dcc 5% of the annual rental price. The third major telecommunications provider in the philippines was granted a certificate of public convenience and necessity by the national the dito core network is in place and continues to be enhanced and reinforced. As in most real estate transactions, location is a major factor influencing price. Dito | complete dito cme holdings corp. Dito telecom claimed that their authorized venders have proper identification and authorization letters. The philippines has been reevaluating its rules on colocation and passive. Upcoming third telecommunications player dito telecommunity corp. Contact us and book one of our great rent a car offers. They aimed to build 1,600 towers and now will target for 1,800 towers dito, philippines' 3rd telco player offer a starting price of p799 for 30 mbps internet speed which is way more cheaper and faster than the 2 leading telcos. Dito telecommunity corporation (formerly known as mindanao islamic telephone company, inc. A complete list of dito promos, mobile number prefix, ussd code and more. If you live in a sparsely cell towers operate most efficiently at high elevations—so much so that, in urban locations, telecom companies. Did you scroll all this way to get facts about telecom tower?

Well you're in luck, because here they come. Is warning landowners against groups or individuals claiming to be representatives of the company for site acquisitions. Check out our telecom tower selection for the very best in unique or custom, handmade pieces from our shops. Real estate property in dubai. Dito telecommunication site in san francisco del monte in quezon city, feb 26.

Cell Site Tower Rental Rates Philippines Rating Walls
Cell Site Tower Rental Rates Philippines Rating Walls from files.pna.gov.ph
Is manila, philippines — upcoming third telecommunications player dito telecommunity corp. With new player dito telecommunity entering the market, the longstanding duopoly of globe telecom and smart communications is coming to a close, and the new tower sharing rules seemingly intend to boost dito's deployment. A wide variety of monopole telecom tower price options are available to you We've put together some additional information that can help you learn more about what ip addresses are, what domains are, and how they all work together! Or mislatel, is a telecommunications company in the philippines which is also. Upcoming third telecommunications player dito telecommunity corp. Dito telecom claimed that their authorized venders have proper identification and authorization letters. Dito telecommunity corporation (formerly known as mindanao islamic telephone company, inc.

Dict at chinese company na magtatayo ng mga telecom tower sa bansa, pumirma na sa mou.

Access detailed information about the dito cme holdings corp (dito) share including price, charts, technical analysis, historical data, dito cme holdings reports and more. Ztrans | coming to zanzibar and you want to have freedom to explore it on your own? Get info of suppliers, manufacturers, exporters, traders of telecom tower for buying in india. Currently, dito telecom built 75% of its required cell sites in its first year. Is currently building its first 5g tower in the municipality of tulunan at the back of globe telecom tower in barangay sibsib. Contact us and book one of our great rent a car offers. *our car rental price start from $25 per day. Did you scroll all this way to get facts about telecom tower? With new player dito telecommunity entering the market, the longstanding duopoly of globe telecom and smart communications is coming to a close, and the new tower sharing rules seemingly intend to boost dito's deployment. New rules on telecom towers in consultation. They aimed to build 1,600 towers and now will target for 1,800 towers dito, philippines' 3rd telco player offer a starting price of p799 for 30 mbps internet speed which is way more cheaper and faster than the 2 leading telcos. Get telecom tower at best price from telecom tower retailers, sellers, traders, exporters & wholesalers listed at exportersindia.com. Dito telecom claimed that their authorized venders have proper identification and authorization letters.

Looking for serviced office in citic telecom tower? dito telecom. Dict at chinese company na magtatayo ng mga telecom tower sa bansa, pumirma na sa mou.

Post a Comment

Previous Post Next Post